Be yourself; Everyone else is already taken.
— Oscar Wilde.
This is the first post on my new blog. I’m just getting this new blog going, so stay tuned for more. Subscribe below to get notified when I post new updates.
Mechanical Journey
Be yourself; Everyone else is already taken.
— Oscar Wilde.
This is the first post on my new blog. I’m just getting this new blog going, so stay tuned for more. Subscribe below to get notified when I post new updates.
Ein Ingenieur wird bei der Designphase oder Testingphase viele Bemessungen durchführen. An solchen Bemessungen treten natürlich viele Werte auf.
Und von Zeit zu Zeit braucht man ein Graph von diese Werte zu bauen. Um diese Graph bauen zu können, müssen wir die Funktion, die durch den Messwerte gehen, bestimmen.

Wir können theoretisch unendlich viele Funktionen finden, die durch diese 5 Stützstellen durchgehen. Wir verfeinern unsere Suche; wir betrachten nur Polynomen. Wir wenden uns an den Lagrange-Polynomen.
Sei P eine Polynom max. 4. Grades. Wir berechnen die Lagrange-Polynomen p_0 bis p_4. Danach multiplizieren wir deren Werte mit dem entsprechenden Messwerten.
Also führen wir das durch:

Nun lösen wir ein Beispiel:


Schauen wir uns an, wie dieses Polynom aussieht:

Ein weiteres Beispiel mit 4 Stützstellen:

This post is written in the original language of my lecture notes, German. You can find the Google Translator widget at the bottom of the page to translate the content to English, or other languages.
Bei dünnwandigen Flächen gilt für die Berechnung der statischen Momente und Flächenträgheitsmomente eine Vereinfachung.
Das infinitesimale Flächenelement da wird in die Form der dünnwand gewandelt. Mit diesem Satz meine ich die folgenden:

Bei solchen Kreisflächen ist es besser das Koordinatensystem zu verändern. Anstatt der Cartesischen Koordinate sind die Polarkoordinate hier günstig.

Es gilt analog für die Berechnung der Flächenträgheitsmomente:

Hi everyone! This post is written in the original language of my lecture notes, German. You can find the Google Translator widget at the bottom of the page to translate the content to English, or other languages.
Flächenmomente 0. Und 1. Grades
Die Flächenmomente 0. und 1. Grades treten schon bei der Berechnung der Flächenschwerpunkt auf.


Die F.M. 1. Grades ist die statische moment dieser Fläche. Die Einheit der Moment 0. Grades ist Längeneinheit^2 und der Moment 1. Grades ist LE^3. Die statische Moment einer Fläche wird berechnet durch:

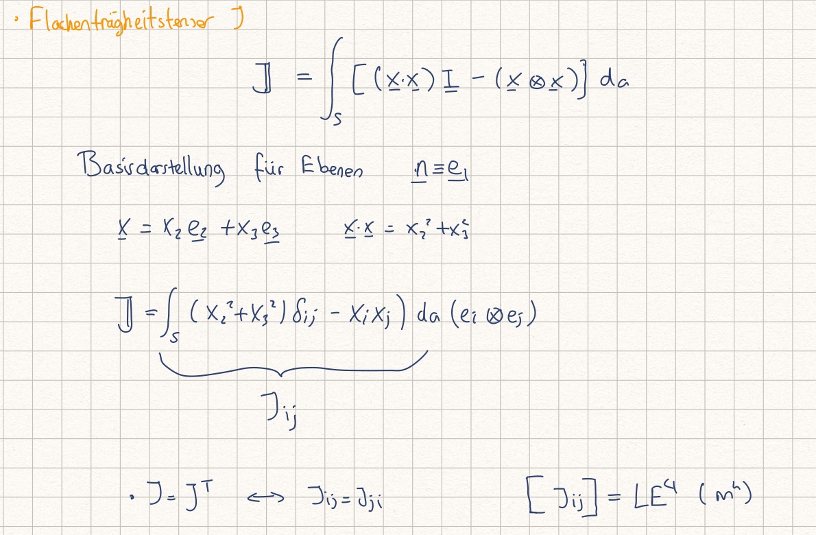
Flächenmomente 2. Grades , also das Moment der Moment der Fläche.
Die Moment 2. Grades einer Fläche ist die sogenannte Flächenträgheitsmomente. Es ist ein rein geometrisches Eigenschaft der Fläche und ist unabhängig von der Material, mit dem der Fläche ausgebaut ist. Die Einheit der Moment 2. Grades ist LE^4
Die FTM einer Fläche ist ein Maß für den „Widerstand“ der Fläche gegen Biegung und Torsion um der betrachteten Achse. Es wird berechnet durch:

Die Berechnung der Moment einer Moment erzeugt ein Tensor, die als Flächenträgheitstensor J bezeichnet wird. J ist ein symmetrisches Tensor, deswegen ist J_23=J_32. Die Komponente der Flächenträgheitstensor heißen Flächenträgheitsmomente.

Die Flächenträgheitsmomente J_ij sind berechnet durch:

Es gibt noch eine Begriff der FTM und es ist die Trägheitsradien einer Fläche.
Bei der knickgefährdeten Druckstäben ist die Knickrichtung immer in die Richtung mit der kleinsten Trägheitsmoment. Deswegen ist für diese Stabilitätsnachweis der kleinsten Trägheitsradius maßgebend i_min.

Bei der Untersuchung der Flächen können wir verschiedene Bezugssysteme anwenden. Diese werden durch drei spezielle Bezeichnungen gewählt.

Wir können nun eine neue Bezugssystem mit parallel verschobenen Achsen betrachten.
Der Satz von Steiner-Huygenz
Bei der parallelverschiebung können wir den Satz von Steiner verwenden, um die FTM neu zu berechnen. Es folgt:

FTM bei der gedrehter Bezugssysteme
Bei dem Schwerpunktsystem können die Achsen gedreht werden. Die Berechnung der Trägheitsmomente bei gedrehten Achsen wird so berechnet:

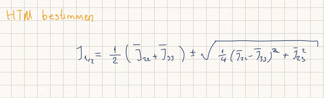
Hauptträgheitsmomente und Hauptträgheitsachsen
Die berechnete FT. Momente hängen von dem Translationswinkel phi ab. Daraus können wir einen Extremwertproblem herleiten, und mit denen können wir die Hauptträgheitsmomente berechnen. Diese HTM sind die Eigenwerte der Trägheitstensor J und sind die Extremwerte der Trägheitsmomente.

Wenn unsere Achsen bilden die Hauptträgheitsachsen, dann verschwinden die Deviationsmomente in der Fläche. Die Lage der HTA phi_0 kann wie folgende berechnet:

J_1 und J_2 sind definiert als die Hauptträgheitsmomente und sind die Extremwerte der J_22(phi) und J_33(phi). Die können so berechnet werden:

Zusammengesetzte Flächen
Bei komplexen Geometrien können wir die Gesamtfläche in einfachere geometrien unterteilen, deren tensorielle Werten schon bekannt sind.
Bei solcher Unterteilungen muss man die Teilträgheitsmomente miteinander addieren um die Trägheitsmoment der Gesamtgeometrie zu bestimmen. Es gilt :
A_gesamt = ∑_i=1,k A_i
J_op = ∑_i=1,k (J_op)_i

Dünnwandigkeit
Bei manchen Flächen sind die Wände sehr dünn relativ zur Querschnittsabmessungen.
In solchen Fällen können wir die EigenFTM dieser Wände vernachlässigen und nur mit deren Steiner-Anteile berechnen. Bei Steiner-Anteil Berechnung verwenden wir nicht die tatsächlichen Querschnittabmessungen, sondern die Mittellinien dieser Geometrien.
Ein Beispiel dafür ist das I-Profil.
